選擇智通 大品牌 有保障 值得信任
大家好!我是PLC編程培訓專業培訓教育機構大朗智通培訓學校課程顧問王老師;今天給大家分享:三菱PLC中SFC編程的三種流程設計
在三菱PLC編程中,編程方法和思路有很多種,不同的行業,不同的項目都會用到不一樣的編程方法,例如機械手,流水線的編程往往很多工程師會選擇步進順控或SFC,其實兩者的思路是一模一樣的,都要用到狀態器S,并且兩者可以相互轉化,不同的是他們是兩種編程語言,步進順控是梯形圖語言,用到STL和RET指令,SFC就是從狀態轉移圖轉化而來,今天我們就來給大家分享一下SFC三種流程設計。東坑PLC培訓,電工培訓
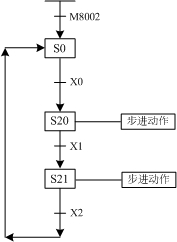
一.單流程
1.諸如下圖的流程設計屬于單流程設計:從頭到尾只有一條路可走,稱為單流程結構。若出現循環控制,但只要以一定順序逐步執行且沒有分支,也屬于單一順序流程,例如流水燈程序

二.選擇型分支
|
|
1.諸如下圖的流程設計屬于選擇型分支:當有多條路徑,而只能選擇其中一條路徑來執行,這種分支方式稱為選擇分支,例如分揀程序
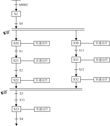
三.并行型分支
1.諸如下圖的流程設計屬于并行型分支:當若有多條路徑,且多條路徑同時執行,這種分支方式稱為并行分支,例如紅綠燈程序
|
|
以上我們對三菱PLC中SFC編程的三種流程設計進行了解析,如果你想要了解更多電氣自動化以及PLC知識請聯系我們!
對PLC編程有興趣的同學還有問題的歡迎聯系我們哦!
大朗智通培訓學校,無論你是有PLC編程基礎還是沒有PLC編程基礎的,可根據個人的知識定制化培訓與學習;大朗智通培訓學校專業PLC,更能享受到老師一對一的輔導與服務,想學PLC編程就來大朗智通培訓學校找我們咨詢了解
以上是關于:三菱PLC中SFC的流程設計的解析!,歡迎大家轉發和收藏,更多關于學習資訊請添加顧問老師微信或電話咨詢。
課程隨到隨學,理論+實操+項目案例+課程作業+老師現場輔導
有全日制、周末班、晚班(滾動開班,隨到隨學)
一經報名學會為止
課程項目:電工培訓考證(年審/換證)、PLC電氣自動化編程、機械設計(CAD SOLIDWORKS)、工業機器人編程、教師資格證、學歷教育(大專/本科)、會計培訓考證、辦公軟件、電商、平面設計等等。


掃碼立刻了解課程

